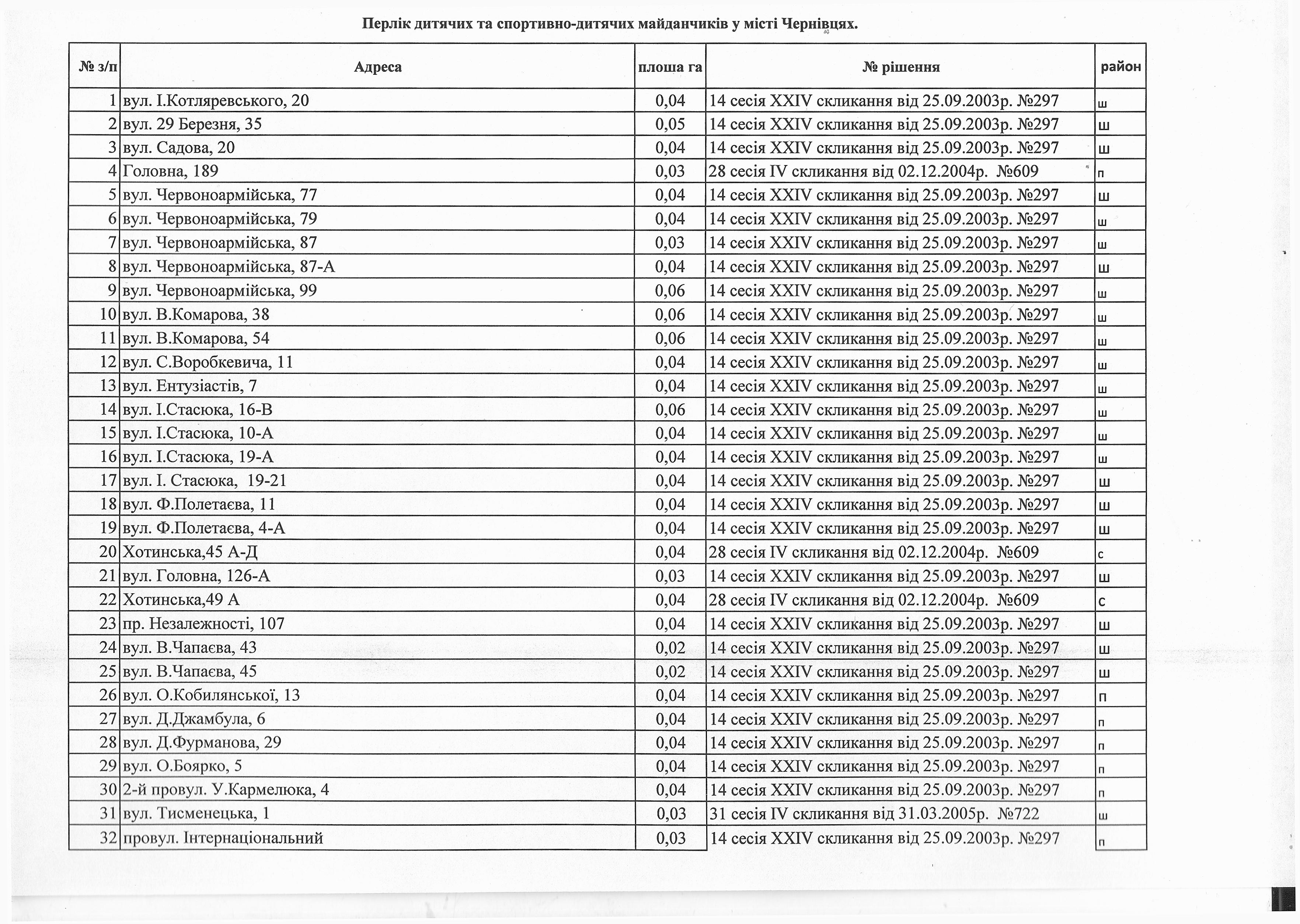
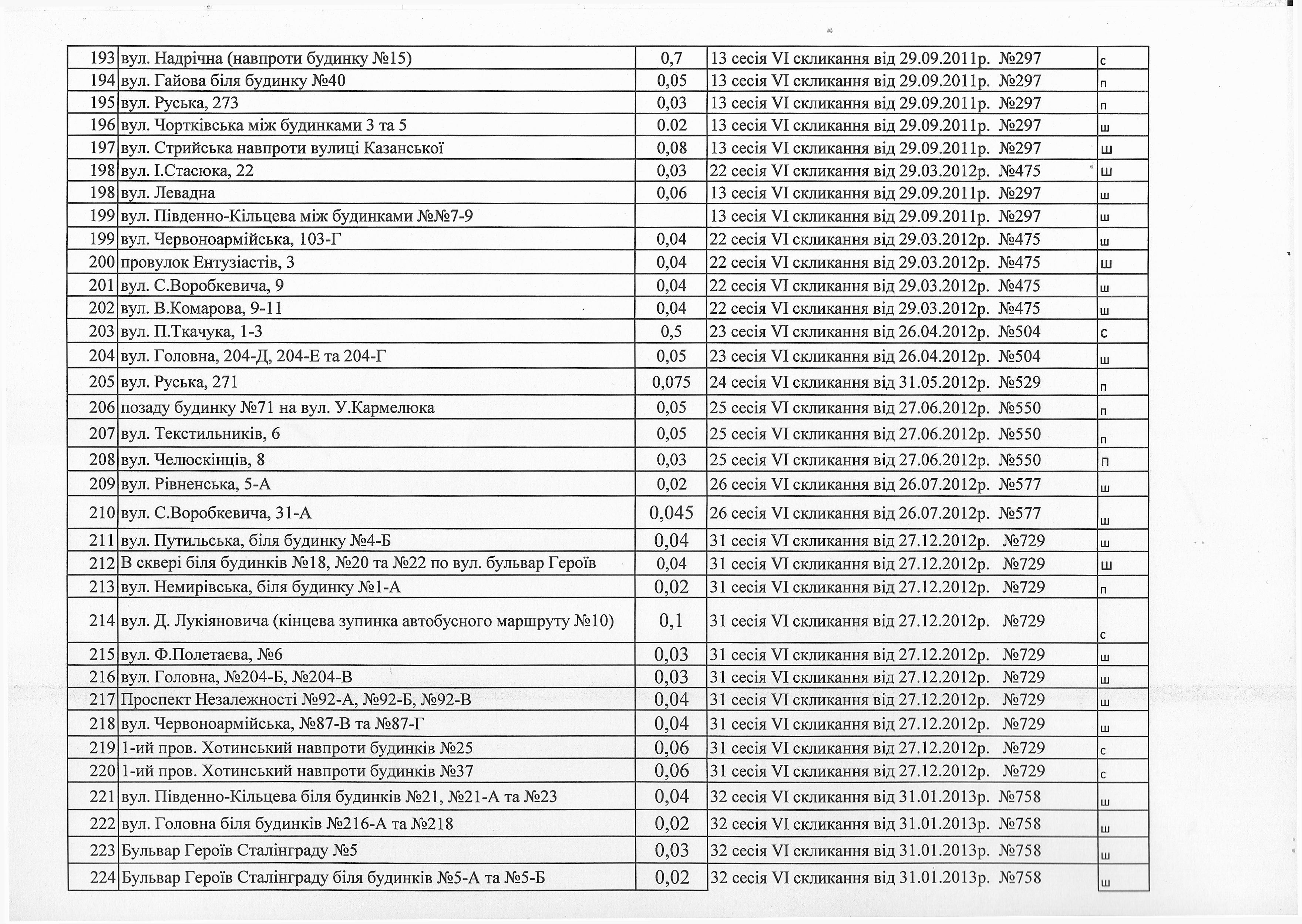
Дитячі майданчики
Доброго дня!
На підставі статей 1, 13, 19, 20 Закону України «Про доступ до публічної інформації» від 13 січня 2011 року, які надають право звертатись із запитами до розпорядників інформації щодо надання публічної інформації, прошу надати наступну інформацію:
- перелік дитячих майданчиків, розміщених на території м. Чернівців, із вказанням площі, обслуговуючої організації та реквізитів нормативного документу про створення майданчика;
- перелік спортивних майданчиків у м. Чернівцях, з указанням їх площі, обслуговуючої організації та реквізитів нормативного документу про створення майданчика.
Відповідь прошу надіслати виключно в електронному вигляді.
З повагою,
Тетяна Лебухорська



