стосовно підзвітних закладів Управління освіти адміністрації Основ'янського району Харківської міської ради
-
Від: Кисельов Андрій
До: Харківська міська рада -
Доброго дня!
На підставі статей 1, 13, 19, 20 Закону України «Про доступ до публічної інформації» від 13 січня 2011 року, які надають право звертатись із запитами до розпорядників інформації щодо надання публічної інформації, прошу надати наступну інформацію (наступні документи):
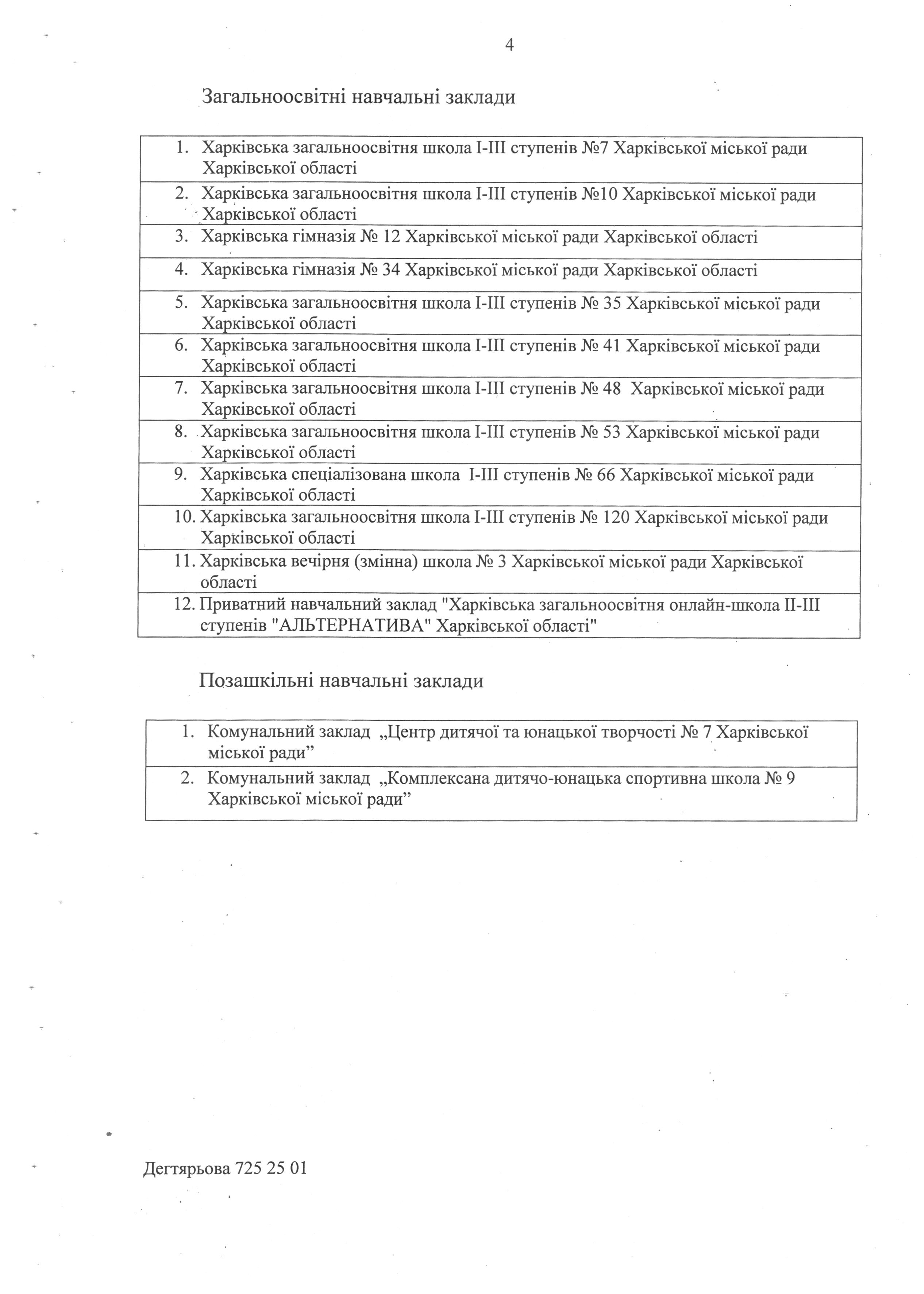
Перелік дошкільних, шкільних та інших закладів підзвітних Управлінню освіти адміністрації Основ'янського району Харківської міської ради.
З повагою,
Кисельов Андрій
--
З повагою,
Дегтярьова Оксана Анатоліївна,
головний спеціаліст загального відділу
Департаменту освіти Харківської міської ради
т. 725-25-01



